Are you hoping to find 'research paper 9th grade'? Here you can find the questions and answers on the subject.
Table of contents
- Research paper 9th grade in 2021
- Grade 9 science research topics
- 3rd grade research paper outline
- 9th grade history research paper topics
- 9th grade research paper topics
- Research papers for 6th graders
- 7th grade research report template
- Research paper example for high school
Research paper 9th grade in 2021

Grade 9 science research topics

3rd grade research paper outline

9th grade history research paper topics

9th grade research paper topics
Research papers for 6th graders

7th grade research report template

Research paper example for high school

Which is the best topic for a research paper?
Research Paper Topics. By definition a research paper requires the writer to learn a great deal about their subject, so it is always a good practice to select a topic that truly interests you before you begin gathering sources.
How big should a research paper be for high school?
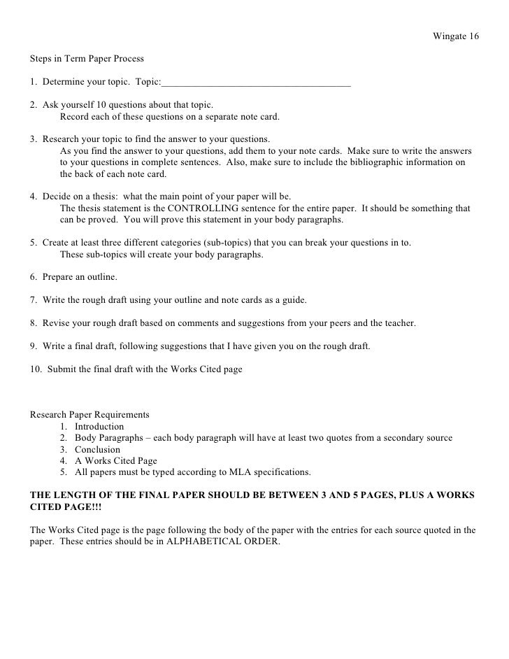
Remember, your research paper should be at least 600 words (2-3 pages, typewritten and double-spaced). You should pick a topic you care about. Your goal is to get people to get to know this person and learn a lesson from this person. A. Attention Grabber (This should be an interesting fact.
What to do when writing a research paper?
As you begin learning and writing about your topic, you should revise or amend your research question or thesis statement to better match the information that you are interpreting, analyzing, and expressing. Let your interest guide you.
What are popular research topics for ninth grade?
Popular topics reflect curriculum requirements combined with interests and social preferences of the age group. Many work well as the focus of team activities. Human behavior provides a wealth of research topics related to the social studies and biology classes taught in ninth grade.
Last Update: Oct 2021
Leave a reply
Comments
Quantella
22.10.2021 05:21All student will compose a three-to-four-page research paper. Once you rich person brainstormed for ideas, you can form the material into a blueprint that.
Carlette
23.10.2021 00:36The steps are: dance step 1: get familiar with with the assignment. However, the research operation can be discouraging, especially for 9th graders.